Komunikace v rámci systému NEN
Každý dodavatel registrovaný v systému NEN má k dispozici interní mailbox, který slouží pro komunikaci se zadavatelem v rámci systému NEN. Systém NEN rozlišuje komunikaci na interní a externí.
Prostřednictvím interního mailboxu neprovádějte podání nabídek nebo žádostí o vysvětlení zadávací dokumentace, pro tuto komunikaci jsou připraveny funkcionality, které naleznete pod „Úkony dodavatele“.

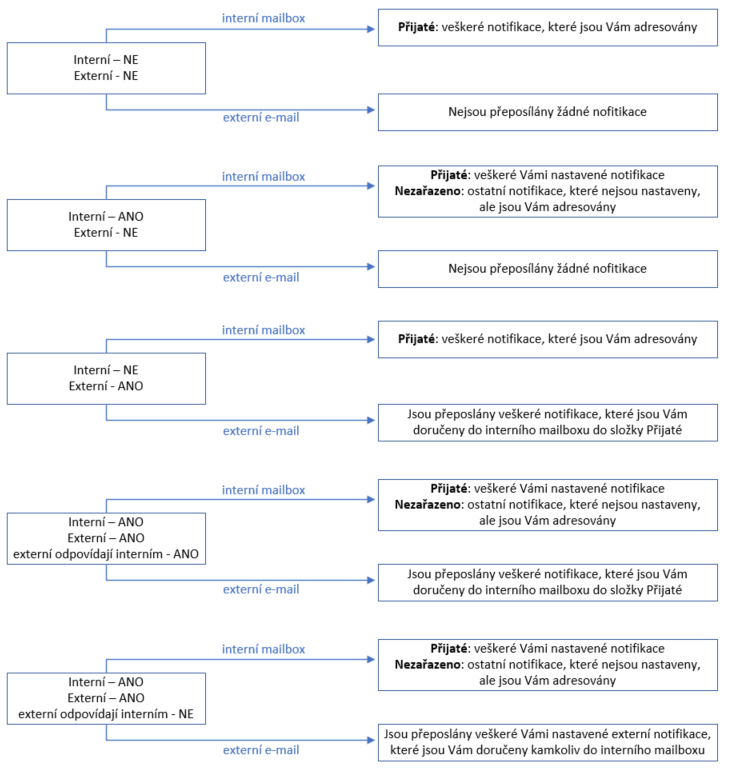
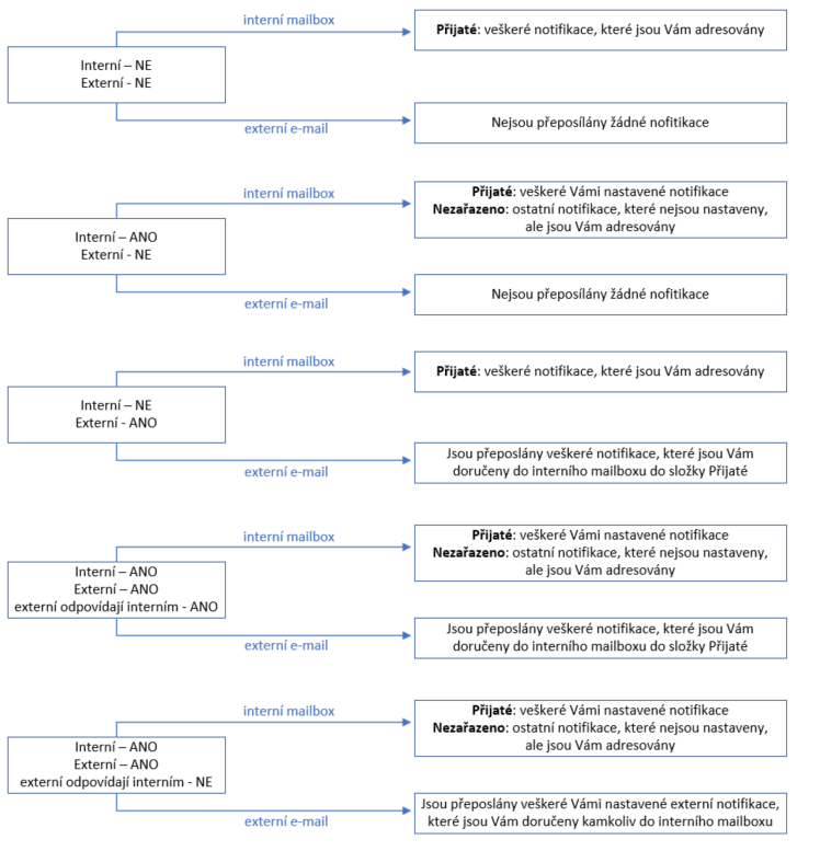
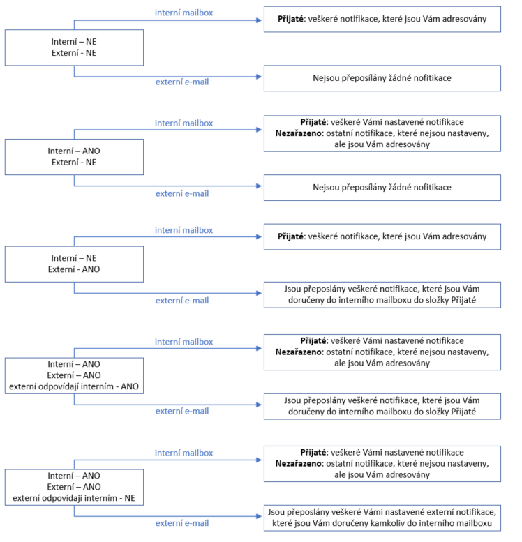
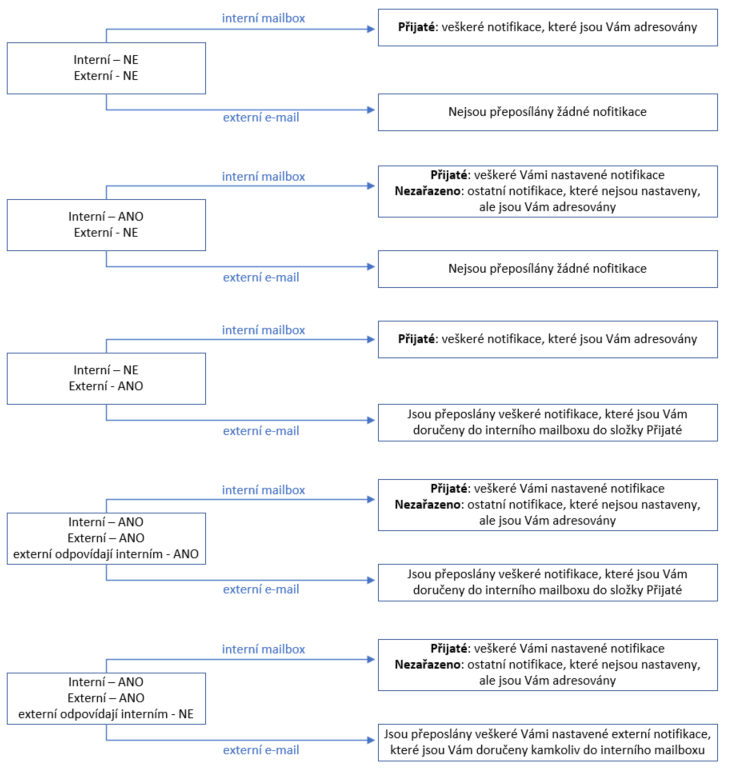
Detailní nastavení interních notifikací určuje, do jaké složky se obdržené notifikace zařadí. Pokud si v nastavení interních notifikací změníte jakýkoliv z nabízených checkboxů, systém NEN zobrazí notifikace (splňující tuto volbu) ve složce „Přijaté”. Ostatní notifikace budou zařazené ve složce „Nezařazeno”.
Detailní nastavení externích notifikací určuje, které notifikace má systém NEN přeposlat na Vaši e-mailovou adresu. Pokud si nastavíte, že externí notifikace odpovídají nastavení interním notifikacím, systém NEN na Vaši e-mailovou adresu přepošle pouze postupy, které splňují Vámi nastavenou volbu v interních notifikacích.
V případě, že interní notifikace nejsou nastaveny, ale v nastavení externích notifikací změníte jakýkoliv z nabízených checkboxů, systémem NEN budou na Vaši e-mailovou adresu zaslány postupy, které splňují Vámi nastavenou volbu v externích notifikacích. Všechny ostatní notifikace naleznete v systému NEN ve složce „Přijaté”.
V případě, že se nastavení interních a externích notifikací liší, zasílá systém NEN notifikace do interního mailboxu dle nastavení interních notifikací a na Vaši e-mailovou adresu dle nastavení externích notifikací. Tudíž může dojít k situaci, kdy v interním mailboxu máte notifikaci ve složce „Nezařazeno”, ale i přesto je Vám zaslána na Vaši e-mailovou adresu.

Systém notifikací je upraven tak, nezasílal dodavateli notifikace u již nerelevantních zadávacích postupů vyplývajících z jejich zrušení/dokončení či o lhůtách u úkonů, které budou již vyřízené nebo nerelevantní v danou fázi zadávacího postupu.